Greater Mohali (Kharar) Project : Update on Energisation |
|
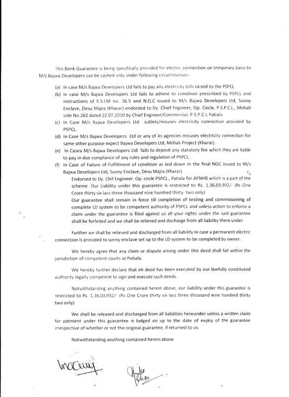
As on 20 Dec 2013 |
|
![]() |
|
As on 28 Nov 2013 |
|
![]() |
|
![]() |
|
As on 26 Nov 2013 |
|
![]() |
|
As on 05 Nov 2013 |
|
![]() |
|
![]() |
|
![]() |
|
As on 29 Oct 2013 |
|
![]() |
|
![]() |
|
![]() |
|
![]() |
|
![]() |
|
![]() |
|
![]() |
|
As on 25 Oct 2013 |
|
![]() |
|
![]() |
|
![]() |
|
As on 14 Oct 2013 |
|
![]() |
|
![]() |